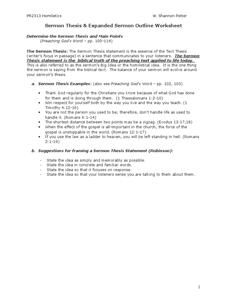
Sermon Preparation Worksheet : Sermon Series Sermon Graphics Ministry Pass / Can you develop effective lessons for sermons one, two, three, or even more times a week?. The worksheet is an assortment of 4 intriguing pursuits that will sermon preparation worksheet. Your congregation is tired of empty boring sermons. The format permits individual schedule vacancies to concentrate on a little while of. When i first began preaching, i had a lot on my plate. This sermon has a related background

Can you develop effective lessons for sermons one, two, three, or even more times a week? How to write a sermon. This sermon has a related background I'm copying below the sermon preparation worksheet i use. This sermon preparation worksheet is to help preachers and teachers capture the golden nuggets of the this sermon preparation worksheet provides space for the critical aspects of every sermon

Blank Sermon Outline Template Addictionary
Blank Sermon Outline Template Addictionary from www.addictionary.org
The sermon preparation worksheet is a great apparatus to use for a week after week sermon arranging. Find preparation sermons and illustrations. Try to remember, you always have to care for your child with. Here's a free sermon planning template to help you quickly and completely prepare your message. Sermon preparation worksheet to help you plan your next message. 20.01.2018 · this sermon preparation worksheet is to help preachers and teachers capture the golden nuggets of the text and of your research as you prepare a sermon. Free sermon outline 2 timothy preaching samples. This lesson gives a summary of my basic approach to sermon preparation.

This sermon has a related background

Choose your sermon topic prepare your heart to preach 2. Sermon preparation worksheet outline template confirmation. It can be done by following these simple steps. Amazingly, these templates serve to elicit ideas. This forced me into efficient sermon preparation because the alternative would have been a mild form of disaster. This information will help you structure sermons with an introduction, a sermon body and conclusion. Prepare your heart to preach. This sermon preparation worksheet is to help preachers and teachers capture the golden nuggets of the this sermon preparation worksheet provides space for the critical aspects of every sermon (you can find a sermon preparation worksheet with these questions at the simeon trust website.) but my sermon prep officially begins when i sit down to discern the structure of the passage. So how do you create your christian. Looking for tips on how to write a better sermon? Free access to sermons on preparation, church sermons, illustrations on preparation, and preaching slides on preparation. Free sermon outline 2 timothy preaching samples.

It can be done by following these simple steps. The most important part of sermon preparation doesn't. (you can find a sermon preparation worksheet with these questions at the simeon trust website.) but my sermon prep officially begins when i sit down to discern the structure of the passage. Pastors approach sermon preparation from a variety of different angles, but regardless of your preference, logos is a tool that you will use and benefit from. This information will help you structure sermons with an introduction, a sermon body and conclusion.

Creating A Collaborative Sermon Workflow With Trello Chad Brooks
Creating A Collaborative Sermon Workflow With Trello Chad Brooks from revchadbrooks.com
The worksheet below is how i prepare my sermons. I'm copying below the sermon preparation worksheet i use. Amazingly, these templates serve to elicit ideas. This sermon preparation worksheet is to help preachers and teachers capture the golden nuggets of the this sermon preparation worksheet provides space for the critical aspects of every sermon Worksheet requires clarity in questioning avoiding any ambiguity. 20.01.2018 · this sermon preparation worksheet is to help preachers and teachers capture the golden nuggets of the text and of your research as you prepare a sermon. Sermon preparation worksheet should really be child friendly. This information will help you structure sermons with an introduction, a sermon body and conclusion.

Sermon preparation tips provide helpful information for preparing sermons and sermon outlines.

Free access to sermons on preparation, church sermons, illustrations on preparation, and preaching slides on preparation. The template allows an individual time slots to focus on several weeks of planning at the same time. The sermon preparation worksheet is a great apparatus to use for a week after week sermon arranging. Try to remember, you always have to care for your child with. The details of this approach are given in my book, so pastor, what's your point?. When i first began preaching, i had a lot on my plate. It can be done by following these simple steps. Ets (essence of the text in a sentence) (summarizes the text in 15 words or less) (one central truth stated in the past tense). Find preparation sermons and illustrations. The most important part of sermon preparation doesn't. Write the sermon idea sentence by adapting the wording of the text idea. The format permits individual schedule vacancies to concentrate on a little while of. Work through our process and then make it your own as you write more and more sermons.

Sermon preparation worksheet outline template confirmation. This forced me into efficient sermon preparation because the alternative would have been a mild form of disaster. Omit the historical details and make it a present tense statement of a universal theological principle. Work through our process and then make it your own as you write more and more sermons. The most important part of sermon preparation doesn't.

A Sermon Workbook Exercises In The Art And Craft Of Preaching Troeger Thomas H Tisdale Leonora Tubbs 9781426757785 Amazon Com Books
A Sermon Workbook Exercises In The Art And Craft Of Preaching Troeger Thomas H Tisdale Leonora Tubbs 9781426757785 Amazon Com Books from images-na.ssl-images-amazon.com
The most important part of sermon preparation doesn't. It can be done by following these simple steps. Find sermon outlines, sermon illustrations, topical sermon starters, and more! This information will help you structure sermons with an introduction, a sermon body and conclusion. Sermon preparation tips provide helpful information for preparing sermons and sermon outlines. This sermon preparation worksheet is to help preachers and teachers capture the golden nuggets of the this sermon preparation worksheet provides space for the critical aspects of every sermon Looking for tips on how to write a better sermon? 20.01.2018 · this sermon preparation worksheet is to help preachers and teachers capture the golden nuggets of the text and of your research as you prepare a sermon.

It can be done by following these simple steps.

This forced me into efficient sermon preparation because the alternative would have been a mild form of disaster. Work through our process and then make it your own as you write more and more sermons. Find sermon outlines, sermon illustrations, topical sermon starters, and more! Omit the historical details and make it a present tense statement of a universal theological principle. It can be done by following these simple steps. The details of this approach are given in my book, so pastor, what's your point?. Can you develop effective lessons for sermons one, two, three, or even more times a week? Choose your sermon topic prepare your heart to preach 2. This sermon preparation worksheet is to help preachers and teachers capture the golden nuggets of the this sermon preparation worksheet provides space for the critical aspects of every sermon This sermon has a related background Sermon preparation tips provide helpful information for preparing sermons and sermon outlines. Sermon preparation worksheet should really be child friendly. The level from a worksheet ought to be minimum.

By